> Inscriptions garderie / cantine
Accueil
Découvrir
En images
Avec des mots
Intercommunalité
Mairie
Informations
Vie Municipale
Les élus
Commission sociale
Procès-verbaux des conseils municipaux
Démarches administratives
Carte nationale d’identité
Duplicata permis de conduire
Passeport
Extraits d’actes
Naissance
Mariage
PACS
Décès
Inscription liste électorale
Infos Pratiques
Adresses et numéros téléphone utiles
Arrêtés municipaux et préfectoraux
Ramassage des ordures et des encombrants
Environnement
Débroussaillement et Emploi du feu
Transports en commun
Assistance sociale
Salle des fêtes
Cimetière
Vie Locale
Associations
Enseignement
Garderie périscolaire
Commerces & Economie
Eau
Urbanisme
Assainissement
Tourisme et Loisirs
Activités et Loisirs
Déclaloc
Hébergement et taxe de séjour
Adresses et numéros téléphone utiles
Actualités
Articles
Agenda
Accueil
Découvrir
En images
Avec des mots
Intercommunalité
Mairie
Informations
Vie Municipale
Les élus
Commission sociale
Procès-verbaux des conseils municipaux
Démarches administratives
Carte nationale d’identité
Duplicata permis de conduire
Passeport
Extraits d’actes
Naissance
Mariage
PACS
Décès
Inscription liste électorale
Infos Pratiques
Adresses et numéros téléphone utiles
Arrêtés municipaux et préfectoraux
Ramassage des ordures et des encombrants
Environnement
Débroussaillement et Emploi du feu
Transports en commun
Assistance sociale
Salle des fêtes
Cimetière
Vie Locale
Associations
Enseignement
Garderie périscolaire
Commerces & Economie
Eau
Urbanisme
Assainissement
Tourisme et Loisirs
Activités et Loisirs
Déclaloc
Hébergement et taxe de séjour
Adresses et numéros téléphone utiles
Actualités
Articles
Agenda
Mairie
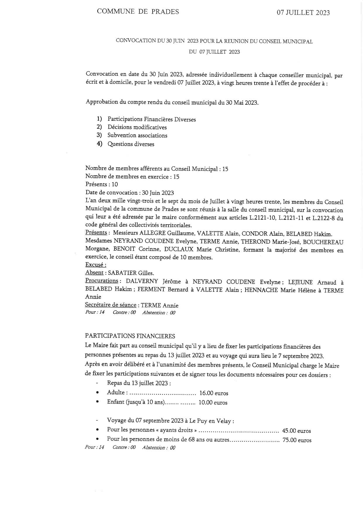
Procès verbaux du conseil municipal du 07 juillet 2023
13 juillet 2023
Actualités par thème
Associations
Culture
Ecole
Enfance
Informations
Mairie
Voyages
Dernières actualités
Avis de coupure d’électricité sur la commune
Déc 11, 2025
Conseil municipal des jeunes: Sapin de Noël colle ...
Déc 10, 2025
Précedent
Repas du 13 Juillet 2023
Suivant
Annulation séance de cinéma du 12 Juillet 2023
X